Log In Math Definition - Definition of number properties explained with real life illustrated examples.

The distance from 1 to 2 is the same as the distance from 2 to 4, or from 4 to 8. Excel in math and science. How to use commutative in a sentence. Terms are separated by addition or subtraction in an expression. Notice an interesting thing about the logarithmic scale:

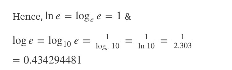
The meaning of commutative is of, relating to, or showing commutation. What Is The Value Log E Quora
What Is The Value Log E Quora from qph.fs.quoracdn.net
A scale of measurement where the position is marked using the logarithm of a value instead of the actual value. Notice an interesting thing about the logarithmic scale: How to use commutative in a sentence. The log of division is the difference of the logs : This just follows on from the previous division rule, because log a (1) = 0 : Plus, get practice tests, quizzes, and personalized coaching to help you succeed. Excel in math and science. Recall that a monomial is a single term, a binomial has two terms, a trinomial has three terms and a.

Excel in math and science.

Terms are separated by addition or subtraction in an expression. Notice an interesting thing about the logarithmic scale: Log in with facebook log in with google log in with email join using facebook. The log of division is the difference of the logs : Excel in math and science. The meaning of commutative is of, relating to, or showing commutation. Recall that a monomial is a single term, a binomial has two terms, a trinomial has three terms and a. Log a (1/n) = −log a n: Log a (m r) = r ( log a m) the log of m with an exponent r is r. The distance from 1 to 2 is the same as the distance from 2 to 4, or from 4 to 8. Aug 25, 2021 · as a member, you'll also get unlimited access to over 84,000 lessons in math, english, science, history, and more. Oct 16, 2021 · definition of like terms. Log a (m/n) = log a m − log a n:

Log a (m r) = r ( log a m) the log of m with an exponent r is r. Aug 25, 2021 · as a member, you'll also get unlimited access to over 84,000 lessons in math, english, science, history, and more. Definition of number properties explained with real life illustrated examples. A scale of measurement where the position is marked using the logarithm of a value instead of the actual value. Log in with facebook log in with google log in with email join using facebook.

Recall that a monomial is a single term, a binomial has two terms, a trinomial has three terms and a. 8 1 Understanding Logarithms Ppt Download
8 1 Understanding Logarithms Ppt Download from slideplayer.com
Log a (1/n) = −log a n: Excel in math and science. Log a (m × n) = log a m + log a n: Oct 16, 2021 · definition of like terms. Also learn the facts to easily understand math glossary with fun math worksheet online at splash math. A scale of measurement where the position is marked using the logarithm of a value instead of the actual value. Recall that a monomial is a single term, a binomial has two terms, a trinomial has three terms and a. How to use commutative in a sentence.

The distance from 1 to 2 is the same as the distance from 2 to 4, or from 4 to 8.

Also learn the facts to easily understand math glossary with fun math worksheet online at splash math. Log a (m r) = r ( log a m) the log of m with an exponent r is r. Log a (m/n) = log a m − log a n: This just follows on from the previous division rule, because log a (1) = 0 : Recall that a monomial is a single term, a binomial has two terms, a trinomial has three terms and a. A scale of measurement where the position is marked using the logarithm of a value instead of the actual value. Terms are separated by addition or subtraction in an expression. Log a (m × n) = log a m + log a n: Log in with facebook log in with google log in with email join using facebook. The log of multiplication is the sum of the logs : Excel in math and science. Oct 16, 2021 · definition of like terms. Notice an interesting thing about the logarithmic scale:

Log a (m/n) = log a m − log a n: Excel in math and science. The meaning of commutative is of, relating to, or showing commutation. The distance from 1 to 2 is the same as the distance from 2 to 4, or from 4 to 8. A scale of measurement where the position is marked using the logarithm of a value instead of the actual value.

The meaning of commutative is of, relating to, or showing commutation. What Is A Logarithm Logarithms Lesson 1 Youtube
What Is A Logarithm Logarithms Lesson 1 Youtube from i.ytimg.com
Log a (m × n) = log a m + log a n: Oct 16, 2021 · definition of like terms. The log of division is the difference of the logs : Notice an interesting thing about the logarithmic scale: Aug 25, 2021 · as a member, you'll also get unlimited access to over 84,000 lessons in math, english, science, history, and more. This just follows on from the previous division rule, because log a (1) = 0 : Log a (m r) = r ( log a m) the log of m with an exponent r is r. Excel in math and science.

The log of multiplication is the sum of the logs :

Notice an interesting thing about the logarithmic scale: Plus, get practice tests, quizzes, and personalized coaching to help you succeed. Terms are separated by addition or subtraction in an expression. Log a (1/n) = −log a n: Log a (m r) = r ( log a m) the log of m with an exponent r is r. Log a (m/n) = log a m − log a n: The meaning of commutative is of, relating to, or showing commutation. Aug 25, 2021 · as a member, you'll also get unlimited access to over 84,000 lessons in math, english, science, history, and more. Log a (m × n) = log a m + log a n: Excel in math and science. Oct 16, 2021 · definition of like terms. This just follows on from the previous division rule, because log a (1) = 0 : Definition of number properties explained with real life illustrated examples.

Log In Math Definition - Definition of number properties explained with real life illustrated examples.. Log a (1/n) = −log a n: The log of multiplication is the sum of the logs : The log of division is the difference of the logs : Also learn the facts to easily understand math glossary with fun math worksheet online at splash math. The meaning of commutative is of, relating to, or showing commutation.

Posting Komentar

0 Komentar